LỊCH PHỔ BIẾN THÔNG TIN THỐNG KÊ
Lịch phổ biến thông tin thống kê năm 2024.

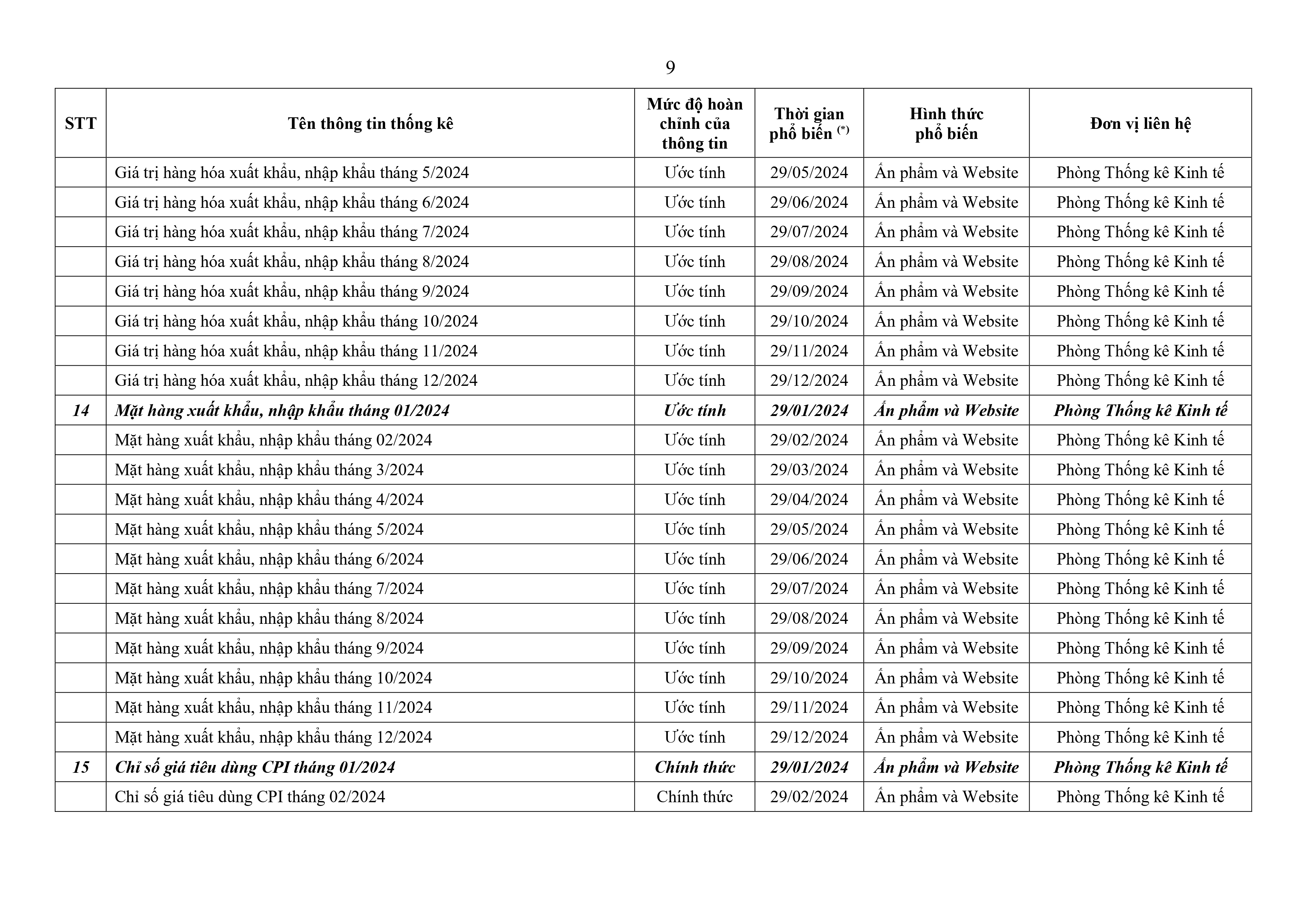
Quyết định ban hành Lịch phổ biến thông tin thống kê năm 2024 của Cục Thống kê tỉnh Bình Thuận.

 

 

 

 

 




CHUYÊN MỤC CÙNG LOẠI KHÁC:


Lịch phổ biến thông tin thống kê 2026

Lịch phổ biến thông tin thống kê năm 2025

Điều chỉnh Lịch phổ biến thông tin thống kê năm 2024

Kế hoạch công tác phổ biến, giáo dục pháp luật và tuyên truyền kiến thức thống kê năm 2024 của Cục Thống kê Bình Thuận

Lịch phổ biến thông tin thống kê năm 2023

Lịch phổ biến thông tin thống kê năm 2022

Lịch phổ biến thông tin thống kê năm 2021

Lịch phổ biến thông tin thống kê năm 2020

Lịch phổ biến thông tin thống kê năm 2019



 
 
 
 
 
 
Trang: 
/
Chuyên mục
Dịch vụ hành chính
ấn phẩm thống kê
Các chuyên đề
Niên giám thống kê năm 2024
Hình ảnh hoạt động

Hoạt động chi bộ
- Đại hội nhiệm kỳ 2020 - 2025 (Lần thứ 19)
- HN quán triệt Nghị quyết Đại hội Đảng bộ tỉnh
- Sinh hoạt chính trị "Giữ trọn lời thề Đảng viên"
- Thi tìm hiểu học tập và làm theo Bác
- Hoạt động khác
Hoạt động cơ quan
- HN CBCC 2020
- HN CBCC 2021
- HN CBCC 2022
- HN CBCC 2023
- HN triển khai nhiệm vụ 2019
- HN triển khai nhiệm vụ 2020
- HN triển khai nhiệm vụ 2021
- HN triển khai nhiệm vụ 2022
- HN triển khai nhiệm vụ 2023
- HN triển khai nhiệm vụ 2024
- Họp báo công bố số liệu
- Hội thao năm 2019
- Hội thao năm 2020
- Hội thao năm 2022
- Hội thao năm 2023
- Hoạt động khác
Công đoàn cơ quan Cục
- ĐH Công đoàn 2017 - 2022
- ĐH Công đoàn 2023 - 2028
- Kỷ niệm Quốc tế và Phụ nữ Việt Nam
- Hoạt động phong trào
Trang chủ| Video - clip| Liên kết| Liên hệ
Trực tuyến: 51 | Lượt truy cập: 4220981
Địa chỉ: 8D, đường 3 tháng 4, phường Xuân Hương-Đà Lạt, tỉnh Lâm Đồng
Điện thoại: 02633.540.134
Người chịu trách nhiệm chính: Phạm Quốc Hùng - Trưởng Thống kê, Thống kê tỉnh Lâm Đồng